Digital Signal Processing (DSP)

Spectral Analysis

The spectral analysis window opens when selecting the DSP > Spectral Analysis menu. If an audio track is available, the Fast Fourier Transform (FFT) is computed. The first sample point of the data set used for computing the FFT is the cursor position (red) in the active audio chanel window. The blue cursor in the audio window shows the last sample point (see Select an audio region).

The Size combo box controls the FFT sample size. Available sizes are power of 2 integers and the corresponding frequency resolution ( "sample size"/"audio sample rate" ) is written beside each value.

The Window combo box sets the FFT window type. Available types are Rectangle, Triangle, Hann, Hamming , and Blackman.

Clicking on the button Refresh the FFT taking into account current settings and cursor position.

The Offset checkbox allows to shift the FFT with a value set in the entry beside.

The next colored button opens a dialog box that allows you to set the curve color and the entry beside, the curve width.

If LPC is checked, the Linear Predictive Coding coefficients are computed with the same sample size than the FFT but always using a Hamming window. The LPC order can be set with the entry beside. Pole values and bandwidths are printed on the plot. LPC can also be used to create DSP filters.

FFT and LPC spectrum obtained on a recorded vowel ɑ.

DSP Filters

The DSP Filter editor opens when clicking on the DSP > Filter menu. It enables to design DSP filters as a cascade of individual filters.

Top toolbar

When clicking on the button, a filter corresponding to the current setting (filter type and related entries) is added to the cascade and a filter line is created in the right panel.

The button imports a DSP filter bank from file.

The button exports both selected and unselected filters. ⚠ The button in the right panel exports only the selected filters.

The button in the top toolbar removes all filters.

The button applies the cascade of active filters to the audio track.

The button reverses time on the active audio track.

The ∂/∂t button replaces the active audio track by its time derivative. The resulting signal is divided by its maximum absolute value so that it is still an audio track bounded by [-1,1]. The maximum absolute value is printed as Norm Factor in the signal view.

The φ checkbox shows or hides the phase (arg(H)) view.

The RT checkbox enables Real Time filtering. When checked, the current DSP filter is applied in real-time while an audio track is playing. The total size of the filter (the sum of individual filter orders) that can be filtered in real time depends on the computer performances. You may also need to increase your Latency when using large order filters for avoiding crackling.

If is checked, there will be no group delay in the resulting signal. If the filter is a FIR (Kaiser Window filter or Equiripple), the result signal is shifted by the half of the filter order. If the filter is an IIR filter, the filter is applied two times: one forward and one backward. In that case, the transfer function is squared: H(f) => H2(f). This option is incompatible with Real Time.

The right panel

The button exports only the selected filters. ⚠ The button in the top toolbal exports both selected and unselected filters.

The button delete selected filters.

The button copies the selected filters in a parallel filter bank

The Select All checkbox select/unselect all filters below.

If a filter is checked , the filter is active. If it is unchecked , it is not taken into account for DSP computations. The frequency response of the cascade filtering that is applied to the audio track when clicking on the button is plotted in the left view.

💡 A filter in the cascade can be a parallel filter bank whose content is displayed on mouse hovering.

The filter line

The first combo box sets the filter type. Available types are
Pole, Zero, Butterworth, Chebyshev, Kaiser Window (FIR), Equiripple linear-phase (FIR), Comb, All Pass, IIR 1st Order and LPC (Linear Predictive Coding). Import allows you to create a custom filer by importing its coeffictients from file.

Beside are some entries depending on the filter type and each one will be discussed in the next sections.

You can rename the filter later by right clicking on the filter line and select the menu Rename.

The second slide in our example is the spectral analysis of the signal resulting from applying the filter shown in the first slide on a white noise.

Pole

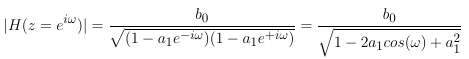
if the filter type is on Pole, you can design a second order pole IIR filter by setting up it center frequency f, its bandwidth B and a gain G.

A second order pole IIR filter defined by its frequency f and its bandwidth B.

The bandwidth B is the width of the interval around the peak frequency where the square amplitude is the half than the peak's one or

which is about 3 dB (20 log10(1/√ 2)).
The gain G if the transfer function module at null frequency: H(0).
The difference equation for a second order pole IIR filter is

whose coefficients are obtained with the following relations:

Zero

if the filter type is on Zero, you can design a second order zero FIR filter by setting up it center frequency f, its bandwidth B and a gain G.

A second order zero IIR filter defined by its frequency f and its bandwidth B.

The frequency f and gain G are defined as for the Pole, the bandwidth B is the width of the interval around the bottom frequency where the square amplitude is twice than the bottoms's one.
The difference equation for a second order zero FIR filter is

whose coefficients are obtained with the following relations:

Butterworth

Butterworth filters are designed to have a flat response (no ripple) in the passband. The design requirement is obtained with lower order than FIR filters obtained by Windowing but they have a non-linear phase that cause phase distortion.

The second combobox sets the filter shape. It can be lowpass, highpass, band or notch.

A Butterworth low-pass IIR and high-pass filters are defined by a cutoff frequency, f, an order, O and a gain G.

The O entry sets the filter order for low-pass and high-pass filter orders but 1/2(filter order) for band-pass and notch filters.

The G entries sets the maximum value of the frequency responses.

Clicking on the Design button opens a dialog box that allows you to design the filter in function of its passband (fp) and stopband (fs) edge frequencies and its passband (Ap) and stopband (As) attenuations. In the passband (f ≤ fp), we have |H(f)| ≥ -Ap, and in the stopband (f ≥ fs), we have |H(f)| ≤ -As.
Design parameters must obey As and Ap ∈ [0.01, 200], fs - fp ≥ 1 for the low pass and fp - fs ≥ 1 for the high pass.

Butterworth pass band and notch IIR filters are defined by a center frequency f, a bandwidth B, an order O and a gain G. The bandwidth determines the 3 dB attenuation around the center frequency.

Chebyshev

Chebyshev filters have a steeper roll-off than Butterworth filters, and have either passband ripple (type I) or stopband ripple (type II).

If Type II is unchecked, it is a Type I Chebyshev filter and δI is the passband ripple amplitude.

The second combobox sets the filter shape. It can be lowpass, highpass, band or notch.

The O entry sets the filter order for low-pass and high-pass filter orders but 1/2(filter order) for band-pass and notch filters.

The G entries sets the maximum value of the frequency responses.

The δI entry set the passband ripple amplitude.

For Type I low-pass and high-pass filters, the f entry sets the cutoff frequency.

The Type I low-pass has a frequency response in the range 0-δI dB between 0 and f.

The Type I high-pass has a frequency response in the range 0-δI dB between f and the Nyquist frequency (0.5*sampleRate).

For band and notch filters, the f entry sets the center frequency and the B entry the bandwidth.

The Type I band filter has a frequency response in the range 0-δI dB between f - B/2 and f + B/2.

The Type I notch filter has a frequency response in the range 0-δI dB between 0 and f - B/2 and between f + B/2 and the Nyquist frequency.

If Type II is checked, it is a Type II Chebyshev filter and δII is the stopband ripple amplitude.

The O and G entries are the same as Type I filters.

For Type II low-pass and high-pass filters, the f entry sets the cutoff frequency.

The Type II low-pass filter has a frequency response below -δII dB between f and Nyquist frequency (0.5*sampleRate).

The Type II high-pass filter has a frequency response below -δII dB between 0 and f.

For band and notch filters, the f entry sets the center frequency and the B entry the bandwidth.

The Type II band filter has a frequency response below -δII dB between 0 and f - B/2 and between f + B/2 and the Nyquist frequency.

The Type II notch filter has a frequency response below -δII dB between f - B/2 and f + B/2..

Kaiser Window FIR filter

As can be seen in the slideshow below, Kaiser Window FIR filters have a linear phase (arg(H)) and therefore does not cause phase distortion. Another available linear-phase filter is the equiripple FIR filter.

Available options are lowpass, highpass, band and notch. Examples and descriptions are given in the slides below.

In this application, linear-phase filters are always Type I FIR filters because they have no constraints on the transfer function boundaries. They have and even order.

The relation between the stopband attenuation As and the stopband deviation δs is given by:
  As= -20 log10 δs ⇔ δs = 10 - As/20
and therefore, in our example:
  δs = 10 - 40/20 = 0.01
In the case of the Kaiser filter, the stopband deviation also sets the limits of the ripples in the passband:
  (1-δs) ≤ |H(f)| ≤ (1+δs)     ∀ f ≤ fp
which in dB units gives:
  |H(f)| ∊ [-0.0873 = 20*log10(0.99) , 0.0864=20*log10(1.01)]     ∀ f ≤ fp

Zoom on the ripples on the end of the pass band of the low pass slide above (first one).

Since the design of the Kaiser filter depends on a parameter that has been determined empirically, it can occur that the requirements are not almost fulfilled by the resulting filter and you could have to adjust the stopband attenuation As in order to get the required filter.

As can be seen in the figure below, since a notch filter is obtained by the difference of two low pass impulse responses, ripples of both filters are added and, if the two stopband edges frequencties are close to each other you may have to increase your stopband attenuation to meet the filter requirements. The same remark is true for a bandpass filter by replacing stopband by passband and difference by addition.

Zoom on the ripples of the stop band of the notch slide above (last one).

Comb Filter

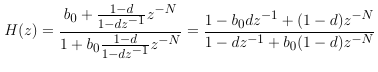
Selecting the Comb type allows you to setup comb Filters that can be used for artificial reverberation. A comb filter is implemented by adding a delayed version of a signal to itself. Two comb filter types are availaible: if the feedback checkbox is unchecked it is a feedforward comb filter.

the Feedforward difference equation is

and the transfer function is given by

The gain parameter controls the depth and bandwidths of the zeros. The two slides below show two transfer functions with different values of g that must be smaller than 1.

If feedback is checked, difference equation is

and the transfer function is given by

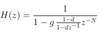
The delay line can be lowpass-filtered by multiplying the z-N term by a first order pole transfer function. The transfer function becomes (with a1=d and b0 = 1 - d)

If the damping parameter d is not 0, it controls the low pass filter at the output of the delay line as shown in the third slide below.
if d < 0 or d > 1, some poles may be outside the unit cicle and the filter is unstable (see Z-Domain view to check if poles are outside the unit cicle).

💡 Comb filters can be applied in parallel and inserted into cascade of allpass sections in order to create a Schroeder reverberator.

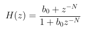
Schroeder Allpass Sections

As comb filters, allpass filters have been introduced by Schroeder for digital reverberation. They have a flat frequency response amplitude. The difference equation is

and the transfer function is given by

As for the Comb Filter, the delay lines can be lowpass-filtered by multiplying the z-N term by a first order pole transfer function. The transfer function becomes

that is no more an allpass filter since zeros are visible on the module of the transfer function.
⚠ if d < 0 or d > 1, some poles may be outside the unit cicle and the filter is unstable (see Z-Domain view to check if poles are outside the unit cicle).

It can be easier to generate long filter cascades using python scripts. The last slide DSP filter can be obtained by copying the following python code, save it as a .py file in your Macros directory and load it from the application. You can edit it in order to add or remove N values and modify the b0 and d parameters. Several prime number tables are available on the internet (e.g. widipedia).

                # some prime numbers
                
n_values = [127, 1223, 1373, 2137, 2473, 2837, 3163, 4021, 4523]
b0=0.98
d=0.05
DSPFilterOpen() # Open the DSP dialog
DSPClear() # Clear previous filters
for N in n_values:
    DSPFilterAllPass(N, b0, d)


Below is a small audio extract,

and here the result filtered with the cascade of 9 Schroeder allpass sections.

First Order IIR Filter

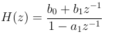
The difference equation for a first order IIR filter is given by

y[n]= b0x[n] + b1x[n-1] + a1y[n-1],

and the corresponding transfer function is

As example, for a First Order Pole low pass IIR filter (b1 = 0)

Since for a low pass filter, we want H(ω = 0) = 1, we must have a1 = 1- b0 as can be seen in the next slideshow.

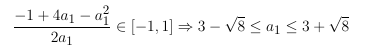
If bw is checked as in the second slide below, instead of entering the 3 coefficients b0, b1 and a1, you only have to enter the 3 dB bandwidth that is the low pass cutoff frequency and a1 is calculated using this equation. ⚠ The value you enter in this entry can be slightly modified because the a1 coefficient is rounded to 6 decimal places. In the second slide example, 200 is entered but the displayed value is 199.999.

The magnitude of the frequency response is

The 3 dB angular cutoff frequency is the ω3dB value for which

is given by


and a1 can be computed from ω3dB using

The corresponding frequency is ω3dBsampleRate/(2π).

💡 You can also use the first order filter to set up a Gain by multiplying the input by a constant b0 (a1 = b1 = 0). In dB unit, the gain is 20 log10(b0).

Linear Predictive Coding (LPC)

The Levinson-Durbin Recursion is used in order to get the LPC coefficients from audio signal. The inputs are the LPC order and the size of the sample used for LPC coefficients. The start of the sample is the cursor position in the audio signal view. When clicking on the button, a DSP filter corresponding to the coefficients is created.

If Inverse is checked, the inverse filter is obtaind: poles are converted to zeros and the linear coefficient a0 becomes 1/a0. This can be used to extract the glottal waveform from speech record.

If Cascade is checked, the filter is decomposed into its poles and a gain (y[n]=a0x[n]). Most are second order poles but first order poles whose frequency is 0 can be present.

IIR filter from LPC coefficients.

Rename

Right click on any filter in the right panel and select Rename

Enter the new name and then the Enter key for saving. Type Esc for quitting without renaming.

z-domain View

Visualize any DSP filter poles and zeros in the z-domain plane.

⚠ The poles are the roots of denominator and the zeros are the roots of the numerator of the the transfer function. The denominator and numerator are polynomials whose roots are obtained from the eigenvalues of a matrix built with the polynomial coefficients.
The computation time is about O(nPoles3 + nZeros3). As example, on an Intel core i7 processor running at 4.7 GHz, the computation time is 0.7 sec for an all-zero filter of order 500, 8.36 sec if order is 1000 and 108.7 sec if the order is 2000.

Python

Here are the functions that can be called from Python scripts.


            #### Spectral Analysis ####.
        
            SoundFFT() 
            
# Open the Spectral Analysis dialog
# and compute the Fast Fourier Transform
            SoundFFTSetSampleSize(int size) # set the FFT sample size.
        
            SoundFFTSetWindowType(string type) # set the FFT window type.
        
            SoundFFTDisplaySettings(int r, int g, int b, int hasOffset, float offset, int curveWidth)
            
# r, g and b are the red green blue values for the
# curve color (∈ [0,255]). curveWidth is the curve width.
# If hasOffset != 0, offset if the curve offset.
            SoundFFTSetLPC(int b) 
            
# If b !=0, LPC is computed when SoundFFT() is called
            SoundFFTSetLPCOrder(int order) # set the LPC order.
        

            #### DSP Filters ####.
        
            DSPFilterOpen() # open the DSP filter dialog.
        
            DSPFilterType(string type) # set the DSP Filter Type
            
# Available types are: "Pole", "Zero",
# "Butterworth", "Chebyshev"
# "Kaiser Window", "Equiripple FIR", "Comb", "All Pass",
# "IIR 1st Order", "LPC" and "Import".
            DSPSelect(int i, int b)
            
# Select the ith filter available in the
# left panel of the DSP Filter dialog if b != 0,
# unselect it otherwise.
DSPDelete() # delete all selected filters.
DSPClear() # delete all filters.
            DSPFilterImport(string fileName)
            
# Import filter coefficients from file fileName.
            DSPFilterExport(std::string filterName, string fileName)
            
# Export the filter filterName coefficients to file fileName.
            DSPFilterRename(std::string oldName, string newName)
            
# Rename the filter oldName as newName.
            DSPFilterApply()
            
# Applies the current flter to the current audio track.
            SoundReverse()
            
# Reverse time of the current audio track.
            SoundDeriv()
            
# Replaces the current audio tract by its time derivative.
            DSPShowPhase(int b)
            
# Shows the phase in the DSP Filter dialog if b != 0,
# hides it otherwise.
            DSPApplyWhenPlay(int b) # ⚠ Deprecated: replaced by
            
DSPRealTime(int b)
# Activate Real Time if b != 0,
# deactivate it otherwise.
            DSPZeroPhase(int b)
            
# Activate 0-phase if b != 0,
# deactivate it otherwise.
            DSPOpenZView(string filterName)
            
# Open the Z-Domain View for the the filter filterName
# Returns view name
            GetDspSize();
            
#Returns the size of the DSP dialog box
#Example: width, height = GetDSPSize()
            SetDSPSize(int width, int height)
            #Set the size of the DSP dialog box
        
            ################################################
            
################################################
            DSPFilterPole(float f, float b, float b)
            
# Create a second order Pole at frequency f
# with a bandwidth b and a gain g.
            DSPFilterZero(float f, float b, float b)
            
# Create a second order Zero at frequency f
# with a bandwidth b and a gain g.
            DSPFilterButterworth(string type, ....) 
            
# if type is "low" or "hight", it creates a
# Butterworth Low Pass or High Pass filter
# and there must be 3 more arguments:
# cutoffFrequency (float) , order (int) and gain (float).

# if type is "pass", there must be 5 more float arguments:
# f1, A1, f2, A2, gain (A1 > 0, A2 > 0 and 0 < f1 <f2).
# This corresponds to settings the cutoff frequency
# and order from design paramenters.

# If A1 < A2, it is a low pass filter.
# f1 and f2 are the pass and stop frequencies.
# A1 and A2 are the passband and stopband attenuations.

# If A1 > A2, it is a high pass filter.
# f1 and f2 are the stop and pass frequencies.
# A1 and A2 are the stopband and passband attenuations.
# if type is "band" or "notch", there bust be 4 more arguments:
# centerFrequency (float), bandwidth (float),
# order (int) and gain (float).
# (see Butterworth Band Pass / Notch).
            DSPFilterChebyshev(int type, string shape, float cutoff, float delta, int order, float gain)
            # high-pass / low-pass
            
# Create a low-pass or high-pass Chebyshev filter
# type can be 1 for Type I chebyshev filter or 2 for Type II.
# shape can be "low" or "high" for low pass or high pass filter.
# cutoff is the cutoff frequecy.
# delta is the passband ripple amplitude if type is 1
# and the stopband ripple amplitude if type is 2.
# order and gain are the filter order and gain.
            DSPFilterChebyshev(int type, string shape, float center,float bandwidth,
            float delta, int order, float gain) # band-pass or notch
            
# Create a band-pass or notch Chebyshev filter
# type can be 1 for Type I chebyshev filter or 2 for Type II.
# shape can be "band" or "notch" for band-pass or band-stop (notch) filters.
# center is the center frequency.
# bandwidth is the filter bandwidth.
# delta is the passband ripple amplitude if type is 1
# and the stopband ripple amplitude if type is 2.
# order and gain are the filter order and gain.
            DSPFilterKaiser('lowPass', float fp, float fs, float As)
            
# Create a Low Pass Kaiser Window filter.
# with a passband frequency fp,
# a stopband frequency fs,
# and a stopband attenuation As (fp < fs)
            DSPFilterKaiser('highPass', float fs, float fp, float As)
            
# Create a Low Pass Kaiser Window filter
# with a stopband frequency fs,
# a passband frequency fp,
# and a stopband attenuation As (fs < fp)
            DSPFilterKaiser('band', fs1, fp1, As1, fp2, fs2, As2)
            
# Create a Band Pass Kaiser Window filter
# with a low stopband frequency fs1,
# a low passband frequency fp1,
# a low stopband attenuation As1,
# a high passband frequency fp2,
# a high stopband frequency fs2,
# and a high stopband attenuation As2,
            DSPFilterKaiser('notch', fp1, fs1, As1, fs2, fp2, As2)
            
# Create a Notch Kaiser Window filter
# with a low passband frequency fp1,
# a low stopband frequency fs1,
# a low stopband attenuation As1,
# a high stopband frequency fs2,
# a high passband frequency fp2,
# and a high stopband attenuation As2,
            DSPFilterComb(int b, int N, float g, float d)
            
# Create a Comb filter
# b=0 → feedforward; b != 0 → feedback
# N is the delay (in sample), g is the gain
# and d is the damping of the nested
# lowpass (only for feedback).
            DSPFilterAllPass(int N, float g)
            
# Create a Allpass filter
# N is the delay (in sample), g is the gain.
            DSPFilterFirstOrder(float b0, float b1, float a1)
            
# Create a First Order filter
            DSPFirstOrderLowpass(int b)
            
# Configure the first order IIR filter to be a low pass filter
# controlled by its 3dB cutoff frequency (check the bw checkbox)
# if b ≠ 0, uncheck it otherwise.
            DSPFilterLPC(int order, int size, int inverse, int cascade)
            
# Create a filter from LPC.
# inverse and cascade are considered as boolean.
# ⚠ An audio track must be available in the Audio GUI.
            ####################################################
            
# Functions that have no GUI equivalent.
            dsp_get_filter_list()
            
# Returns and array of filter names.
            dsp_get_num_filters()
            
# Returns the number of filters
            dsp_get_num_sub_filters(string filterLabel)
            
# Return the number of sub filters of filter filterLabel
# e.g. a Butterworth filter of order n is actually a cascade
# of n/2 filters of order 2
            dsp_get_coefficients(string filterLabel, in id)
            
# returns a and b coefficients of subfilter id for filter filterLabel.
Example: python script that exports all the filter coefficients in a File
filters=dsp_get_filter_list()
nFilters=len(filters) # could also be dsp_get_num_filters()
out_file=open("dsp_coefficients", "w")
for i in range(nFilters):
    label=filters[i];
    print("label:", label,file=out_file)   
    # Number of sub filters. Both Butterworth 
    # and Chebyshev are cascades of 2nd order IIR filters
    nSubFilter=dsp_get_num_sub_filters(label)
    for j in range(nSubFilter):
        a, b = dsp_get_coefficients(label,j)
        print("a=",a,file=out_file)
        print("b=",b,file=out_file)
        del a
        del b
del filters