Discrete Time System

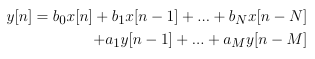
The difference equation for an Infinite Impulse Response (IIR) filter is
It defines the relationship between the input and output of the filter: the nth output y[n] is a linear combination of the corresponding input x[n], the N previous input x[n-1] , ..., x[n-N] and the M previous outputs y[n-1] , ..., x[n-M].

If all ai coefficients are zero (i>0), it is a Finite Impulse Response (FIR) filter and the bi coefficients are the impulse response of the filter.
Indeed, in that case, no output y[n-k] is sent back to the input and if all inputs are set to 0 at a given time, all outputs will be zero once the N previsous samples have reached the output. Otherwise, if one ai is not zero, the output continue to feed the input indefinitely and it is an Infinite Impulse Response (IIR) filter.

The transfer function in the z-domain (z = ei ω = cos(ω) + i sin(ω)) is
It is the equivalent of the transfer function in the Laplace domain resulting of the discretization (sampling) of the system. If in the Laplace (continuous) domain, frequency range is [ 0 , ∞ ], In the z-transform domain, it is [ 0, 2 π]. The relation between f in the frequency domain and ω in the z-domain is ω = 2 π f / Sample Rate.

The transfer function in the Laplace domain can be written as
where the pk and zj are the M poles and N zeros of the transfer function.